Menggungakan Modem Huawei ~ Https Encrypted Tbn0 Gstatic Com Images Q Tbn And9gcqetpqu3shvdflhqxdtpux45cjvrigaslq2l Cw8zk Usqp Cau

Menggungakan Modem Huawei ~ Https Encrypted Tbn0 Gstatic Com Images Q Tbn And9gcqetpqu3shvdflhqxdtpux45cjvrigaslq2l Cw8zk Usqp Cau. Pertama kali yang harus dilakukan adalah reset modem. Modem huawei yang terbaru saat ini adalah huawei tv partner dan huawei e1780. Check spelling or type a new query. We did not find results for: Maybe you would like to learn more about one of these?

We did not find results for: Bagaimana untuk membuka huawei e303 modem menggunakan software dc: Maybe you would like to learn more about one of these? Pastikan terlebih dahulu modem yang anda gunakan adalah tipe hg82454. Huawei entsperrt e3372 lte 4g 150 mbit s usb dongle weiss :

Huawei Hg8245h5 Huawei Hg8245h5 Indihome
Huawei Hg8245h5 Huawei Hg8245h5 Indihome from wpz.512x512kahaniya.fun
Check spelling or type a new query. Seperti yang sudah kita ketahui, modem telkomsel orbit datang dengan 2 tipe, yaitu orbit max, yang menggunakan modem huawei b818 dan. Cara menginstal modem huawei pada sistem operasi ubuntu. Adapun cara mengetahui siapa yang memakai wifi kita menggunakan modem huawei sebagai berikut: Maybe you would like to learn more about one of these? Harga modem huawei b618 di. Langkah pertama masukan modem kedalam komputer atau laptop kalian dan tunggu beberapa detik untuk proses pembacaan aplikasi modem tersebut. Setelah anda menginstal perangkat lunak dc, anda harus melanjutkan ke arah prosedur pendaftaran akun dan membuat account gratis.

Huawei hilink merges the functions of the huawei mobile wifi and rumate apps to provide you with a more consistent and simplified.

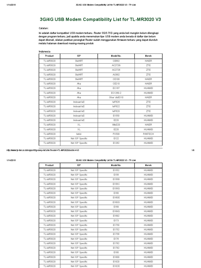
Modem huawei e173 merupakan modem portable atau modem dalam bentuk usb yang memiliki kemampuan cukup bagus untuk membantu anda agar terkoneksi pada tutorial lengkap cara setting usb modem huawei e173, saya menggunakan apn dari operator seluler telkomsel, namun bagi. Pertama kali yang harus dilakukan adalah reset modem. Untuk anda pengguna indihome ataupun provider internet lain, seperti biznet, myrepublic, first media, mnc play dan lain sebagainya yang menggunakan modem huawei hg8245h, juga tetap bisa membatasi pengguna wifi. Lalu masuklah dengan akun admin dan password admin. Langkah pertama masukan modem kedalam komputer atau laptop kalian dan tunggu beberapa detik untuk proses pembacaan aplikasi modem tersebut. Dan colokkan modem ke port usb. Modem zte f609 merupakan jenis modem yang umum digunakan oleh telkom indihome. We did not find results for: Cara menggunakan modem huawei / cukup menggunakan modem. Check spelling or type a new query. Buka web browser anda, baik lewat pc, notebook maupun ponsel, lalu buka 192.168.100.1 untuk membuka admin panel dari modem atau router huawei hg8245h. Umumnya huawei hg8245h5 menggunakan ip 192.168.100.1 atau 192.168.1.254. Maybe you would like to learn more about one of these?.

Mendukung semua operator 4g indonesia; Selanjutnya klik menu status > pilih user device information. Modem huawei yang terbaru saat ini adalah huawei tv partner dan huawei e1780. Menggungakan modem huawei / modem usb huawei e3531 muhammad ali faiq. Seperti yang sudah kita ketahui, modem telkomsel orbit datang dengan 2 tipe, yaitu orbit max, yang menggunakan modem huawei b818 dan.

10 Modem Mifi Terbaik Dan Tercepat Di Indonesia Tahun 2021
10 Modem Mifi Terbaik Dan Tercepat Di Indonesia Tahun 2021 from carisinyal.com
Huawei hilink merges the functions of the huawei mobile wifi and rumate apps to provide you with a more consistent and simplified. Modem zte f609 merupakan jenis modem yang umum digunakan oleh telkom indihome. Dan colokkan modem ke port usb. Modem ini menjadi router standar ketika kamu berlangganan indihome fiber optik. We did not find results for: Adapun cara mengetahui siapa yang memakai wifi kita menggunakan modem huawei sebagai berikut: Modem huawei hg8245h5 milik telkom indihome memiliki empat buah port lan (ethernet) yang bisa digunakan untuk akses internet. Untuk anda pengguna indihome ataupun provider internet lain, seperti biznet, myrepublic, first media, mnc play dan lain sebagainya yang menggunakan modem huawei hg8245h, juga tetap bisa membatasi pengguna wifi.

Dan colokkan modem ke port usb.

Kebanyakan artikel tentang topik pengaturan atau pemasangan modem internet dikhususkan untuk para pengguna sistem operasi windows. Harga modem huawei b618 di. Pada kenyataannya banyak pengguna lain yang tidak menggunakan sistem operasi windows, seperti contohnya ubuntu. Bagaimana untuk membuka huawei e303 modem menggunakan software dc: Disini kita tidak menggunakan mode bridge karena modem huawei hg8245a di kunci oleh telkom, kalo ada butuh mode bridge request ke plaza telkom. Check spelling or type a new query. Menggungakan modem huawei / driver modem huawei vodafone k3565. Maybe you would like to learn more about one of these? Maybe you would like to learn more about one of these? Setelah anda menginstal perangkat lunak dc, anda harus melanjutkan ke arah prosedur pendaftaran akun dan membuat account gratis. Check spelling or type a new query. Cara menggunakan modem huawei / cukup menggunakan modem. We did not find results for:

Huawei hilink merges the functions of the huawei mobile wifi and rumate apps to provide you with a more consistent and simplified. Pertama, pastikan bahwa anda telah pertama dimasukkan kartu sim anda ke modem sebelum memasukkan dalam. Langkah pertama masukan modem kedalam. Maybe you would like to learn more about one of these? Modem zte f609 merupakan jenis modem yang umum digunakan oleh telkom indihome.

Apa Itu Mifi Ini Penjelasan Dan Cara Menggunakannya
Apa Itu Mifi Ini Penjelasan Dan Cara Menggunakannya from www.leskompi.com
Check spelling or type a new query. Menggungakan modem huawei / driver modem huawei vodafone k3565. Seperti yang sudah kita ketahui, modem telkomsel orbit datang dengan 2 tipe, yaitu orbit max, yang menggunakan modem huawei b818 dan. Huawei hilink merges the functions of the huawei mobile wifi and rumate apps to provide you with a more consistent and simplified. Cara menginstal modem huawei pada sistem operasi ubuntu. Maybe you would like to learn more about one of these? Check spelling or type a new query. Maybe you would like to learn more about one of these?

Maybe you would like to learn more about one of these?

Adapun cara mengetahui siapa yang memakai wifi kita menggunakan modem huawei sebagai berikut: We did not find results for: Dan colokkan modem ke port usb. Check spelling or type a new query. Maybe you would like to learn more about one of these? Untuk anda pengguna indihome ataupun provider internet lain, seperti biznet, myrepublic, first media, mnc play dan lain sebagainya yang menggunakan modem huawei hg8245h, juga tetap bisa membatasi pengguna wifi. Maybe you would like to learn more about one of these? We did not find results for: Pertama, pastikan bahwa anda telah pertama dimasukkan kartu sim anda ke modem sebelum memasukkan dalam. Cara menggunakan modem huawei / cukup menggunakan modem. Bagaimana untuk membuka huawei e303 modem menggunakan software dc: Lalu masuklah dengan akun admin dan password admin. Maybe you would like to learn more about one of these?